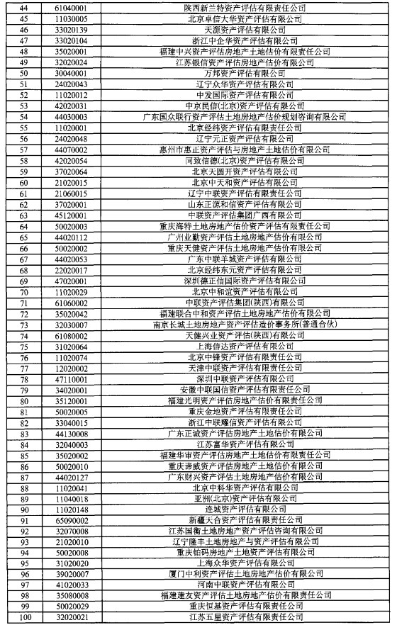
2015年资产评估机构综合评价前百家机构名单公告
2015年资产评估机构哪家好?2015年资产评估公司排行榜TOP100。按照《资产评估机构审批和监督管理办法》(财政部令第64号)、财政部《关于推动评估机构做大做强做优的指导意见》(财企〔2009〕453号)的有关要求,中国资产评估协会(以下简称“中评协”)开展了2015年资产评估机构综合评价工作。根据《关于印发〈资产评估机构综合评价办法〉的通知》(中评协〔2014〕58号,以下简称《评价办法》)和《关于上报2015年资产评估机构综合评价有关数据的通知》(中评协〔2015〕36号),中评协于2015年8月6日公示了2015年资产评估机构综合评价前百家机构名单,现公示期已满。根据公示期间反馈的意见,中评协对有关情况进行了核实,现将2015年资产评估机构综合评价综合排名前百家机构名单(附件1)、2015年资产评估机构综合评价年业务收入排名前百家机构名单(附件2)、2015年资产评估机构综合评价总部收入排名前百家机构名单(附件3)及2015年资产评估机构综合评价年全部业务收入(含关联业务收入)排名前百家机构名单(附件4)以及关于2015年资产评估机构综合评价排名有关情况的说明(附件5)予以公告。(中国资产评估协会 二〇一五年八月二十日)


