房屋构筑物评估的前期费用怎么确定?
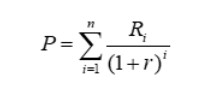
房屋构筑物评估的前期费用怎么确定?建议可以按照收益法,它是预计估价对象未来的正常净收益,选择适当的报酬率或资本化年、收益乘数将其折现到估价时点后累加,以此估算估价对象的客观合理价格或价值,预测估价对象的未来收益,然后利用适当的折现率求取估价对象的价值的方法。具体计算公式如下:

式中: P——收益法评估值;Ri——资产期间收益;r——资本化率;i——持有期间。
房屋构筑物资产评估过程
1、计算不动产出租可以产生的收益
(1)采用收益法评估不动产时,有租约限制的,租约期内的租金应采用租约所确定的租金,租约期外的租金应当釆用正常客观的租金,并在资产评估报告中披露租约情况。如果合同约定的租金明显低于市场租金,评估人员应当调查租赁合同的真实性,分析解除合同的可能性以及其对评估价值的影响。
(2)釆用收益法评估时,不动产收益包括租金收入、押金利息收入、广告收入营业收入分成收入等,有些不动产出租价格较低,但是根据租赁协议,出租人可以根据承租人营业收入参与收入分成,实际也増加了不动产出租收益,评估人员应重点关注上述收益对评估价值的影响,避免低估房地产产生的收益。
(3)空置率和租金损失率,在租约期内,一般无需考虑空置率和租金损失率;但是在租约期外,应当根据市场同类型物业的出租情况,客观合理的确定空置率和租金损失率。
(4)在租约期外,确定出租收益时,应该根据同类型物业的市场租金情况进行合理的调整后确定,应剔除不合理因素的影响。(采用市场比较法经调整后确定客观合理的租金价值)
租金一般以每年3%-5%比例上浮。空置率一般为5%-8%。
2、计算不动产出租需要缴纳的各项费用
(1)房产税:对外出租使用的房产,一般按照不含税收入的12%缴纳房产税,但是,部分地区房产税按照房产原值的1.2%缴纳,比如深圳市;
(2)城镇土地使用税:按照房地产占用的土地使用权面积,按照土地级別,计算城镇土地使用税;
(3)税金及附加:以应缴纳的増值税金额为基础,计算税金及附加;对于老项目,增值税按照简易方式计征;对于新项目,由于涉及销项税和进项税抵扣,很难做到准确计算,一般在实务操作中仍按照简易计征的方法测算;
(4)物业管理费:此费用应根据租约情况确定,如果租约中明确约定该项费用由承租人另行支付,则无需考虑该项费用;如果没有约定,则需要由出租人负担;
(5)管理费用:维持委估对象正常出租经营所发生的人员工资、水电等费用,一般以房地产出租收入为基数计算;
(6)销售费用:带有租约的房屋,租约期内由于已经签订了租赁合同,因此无需考虑销售费用,租约期外,一般需要考虑销售费用;
(7)维修费用:为了保证房屋的正常使用,每年需要进行房屋维修维护,一般以房屋的重置成本的一定比例为基础计算维修费用;
((8))保险费用:保险费主要保障火灾、爆炸、雷击等自然灾害和意外事故造成的房屋损失。房屋保险一般由屋主或住户投保。
一般以房屋的重置成本的一定比例为基础计算保险费用;费率通常为0.2%左右。
(9)印花稅:按照印花税规定的税率,以不含税金额为基础计算印花税。
税法规定:合同中价税分别记载的以不含税计算,未分别记载的以总价计算。
以上费用是否考虑,需要根据房屋所在地税费的缴纳政策综合考虑确定,不能一概而论。

